Текст скопирован в буфер обмена

Наши менеджеры свяжутся с вами в ближайшее время!

30997

Аппарат управления серии АУРСП5

Аппараты управления серии АУРСП5 — это устройства для пропорционального управления гидравлическими и электрическими приводами в строительно-дорожной технике. Они обеспечивают точное управление, эргономичность и надежность в сложных условиях эксплуатации.

Основные особенности

  • Компактная интеграция манипулятора и электронного модуля
  • До трех функциональных кнопок на рукоятке для удобства оператора
  • Варианты с датчиком присутствия руки для повышения безопасности
  • Универсальное питание 12/24 В для совместимости с различной техникой

Внешний вид и габаритные размеры

Конструктивные особенности

  • Программируемый микропроцессорный датчик для точного управления
  • Эргономичная рукоятка с настраиваемым углом наклона
  • Поддержка интерфейсов CAN, RBus, RS-485
  • Варианты с механическим датчиком руки или без него
  • Гибкие варианты электрических подключений
Технические характеристики аппаратов серии АУРСП5
Параметр Значение
Угол отклонения рукоятки от нейтрального положения 20±3°
Зона нейтрального положения, не более
Максимальное усилие на рукоятке (основные направления) 15 Н
Максимальное усилие при совмещении операций 25 Н
Интерфейс CAN, RBus, RS-485
Износоустойчивость, отклонений, не менее 70 тыс.
Напряжение питания 10–32 В
Диапазон рабочих температур от -40 до +55 °C
Степень защиты IP52
Максимальное вибрационное ускорение 50 м/с²
Диапазон частот вибрации 50–250 Гц
Допустимые ударные нагрузки, не более 100 м/с²

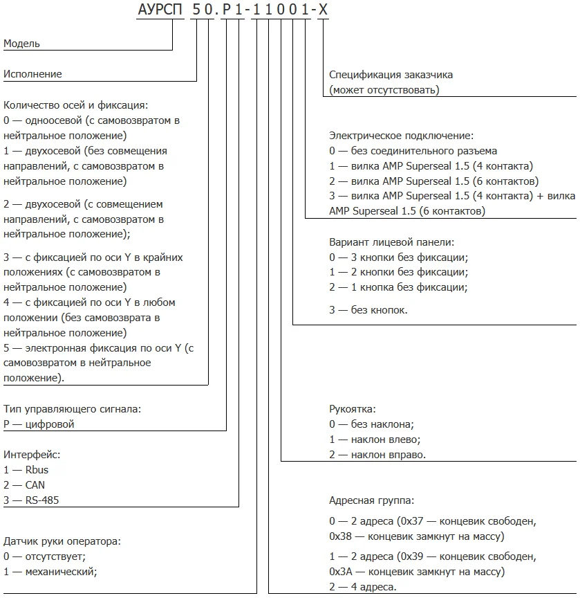
Варианты исполнения

Области применения

  1. Строительная техника (экскаваторы, погрузчики)
  2. Дорожные машины (грейдеры, асфальтоукладчики)
  3. Сельскохозяйственное оборудование (тракторы, комбайны)
  4. Промышленные системы с гидравлическими приводами

Аппараты управления серии АУРСП5 обеспечивают высокую точность и долговечность, что делает их оптимальным решением для управления сложной техникой в суровых условиях.

на нашем сайте или вы можете отправить заявку на электронную почту , либо позвонить по номеру телефона: